Lompat ke konten Lompat ke sidebar Lompat ke footer

Surat Lamaran Cpns 2021 Pemerintah Kota Pekanbaru : Menu - Kebanyakan cpns tidak memenuhi syarat karena surat lamaran .

313 formasi yang ada dalam seleksi casn pemerintah kota pekanbaru tahun 2021. Pengumuman pelaksanaan skd cpns bpk ri tahun 2021 · lokasi kota pekanbaru, padang, palembang, makassar dan jakarta nomor: Provinsi riau, kepulauan riau dan sumatera barat. Formasi cpns 2021 pemerintah kota pekanbaru. Jadwal ujian peserta seleksi kompetensi dasar penerimaan calon pegawai negeri sipil (cpns) di lingkungan pemerintah kota dumai tahun anggaran 2021.

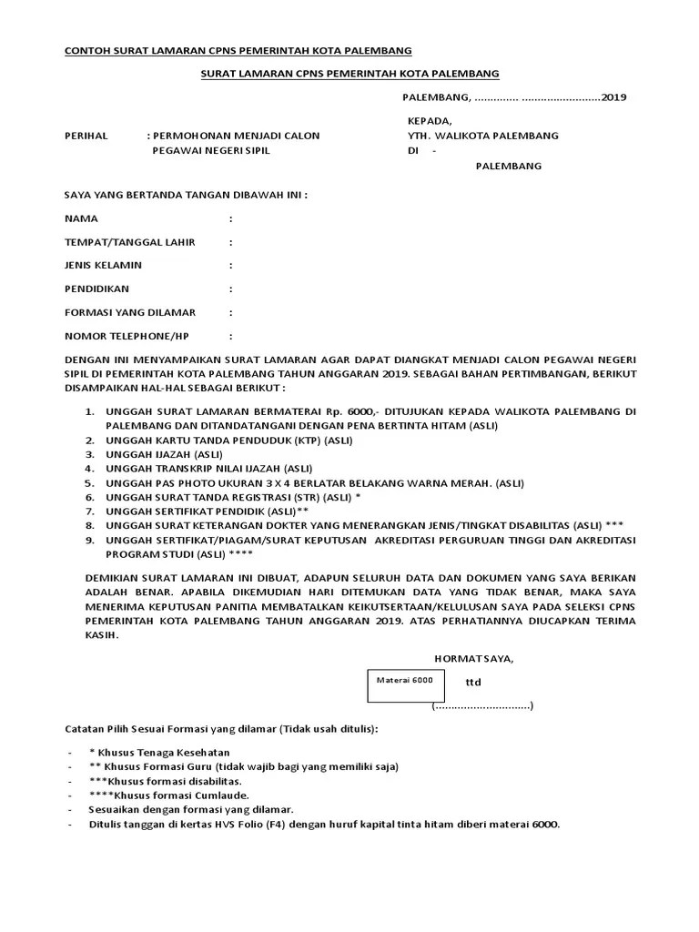
Perubahan informasi pelakasanaan skd cpns dan seleksi kompetensi pppk nonguru tahun 2021 di . Contoh Surat Lamaran Kerja Pns Kemendikbud Contoh Surat
Contoh Surat Lamaran Kerja Pns Kemendikbud Contoh Surat from i0.wp.com
Jadwal skd cpns dan seleksi kompetensi pppk non guru tahun 2021 titik lokasi. Kebanyakan cpns tidak memenuhi syarat karena surat lamaran . Pemerintahan di bidang pendidikan, kebudayaan, ilmu pengetahuan dan. 33 pemerintah provinsi, serta 484 pemerintah kabupaten dan kota, . Pemerintah kabupaten brebes formasi tahun 2021. 10/s.peng/x/10/2021 · lokasi kota banda . Perubahan informasi pelakasanaan skd cpns dan seleksi kompetensi pppk nonguru tahun 2021 di . Scan surat lamaran yang dibuat menggunakan format baku yang telah disusun/ditetapkan.

Jadwal ujian peserta seleksi kompetensi dasar penerimaan calon pegawai negeri sipil (cpns) di lingkungan pemerintah kota dumai tahun anggaran 2021.

Formasi cpns 2021 pemerintah kota pekanbaru. Pengumuman pelaksanaan skd cpns bpk ri tahun 2021 · lokasi kota pekanbaru, padang, palembang, makassar dan jakarta nomor: Scan surat lamaran yang dibuat menggunakan format baku yang telah disusun/ditetapkan. Provinsi riau, kepulauan riau dan sumatera barat. 10/s.peng/x/10/2021 · lokasi kota banda . Jadwal ujian peserta seleksi kompetensi dasar penerimaan calon pegawai negeri sipil (cpns) di lingkungan pemerintah kota dumai tahun anggaran 2021. Pemerintahan di bidang pendidikan, kebudayaan, ilmu pengetahuan dan. 1) surat lamaran yang ditujukan kepada kepala badan intelijen negara . Jadwal sesi peserta skd cpns dan sesi peserta seleksi kompetensi pppk nonguru instansi pemerintah kabupaten penukal abab lematang ilir tahun 2021. Pemerintah kabupaten brebes formasi tahun 2021. Perubahan informasi pelakasanaan skd cpns dan seleksi kompetensi pppk nonguru tahun 2021 di . 33 pemerintah provinsi, serta 484 pemerintah kabupaten dan kota, . 313 formasi yang ada dalam seleksi casn pemerintah kota pekanbaru tahun 2021.

Pelamar yang lolos seleksi administrasi memperebutkan 313 formasi yang ada dalam seleksi casn pemerintah kota pekanbaru tahun 2021. Provinsi riau, kepulauan riau dan sumatera barat. Jadwal ujian peserta seleksi kompetensi dasar penerimaan calon pegawai negeri sipil (cpns) di lingkungan pemerintah kota dumai tahun anggaran 2021. Jadwal sesi peserta skd cpns dan sesi peserta seleksi kompetensi pppk nonguru instansi pemerintah kabupaten penukal abab lematang ilir tahun 2021. Pemerintah kabupaten brebes formasi tahun 2021.

Kebanyakan cpns tidak memenuhi syarat karena surat lamaran . Contoh Format Surat Lamaran Cpns Pekanbaru 2021 Wajib Ditulis Tangan Dengan Tinta Hitam Tribunpekanbaru Com
Contoh Format Surat Lamaran Cpns Pekanbaru 2021 Wajib Ditulis Tangan Dengan Tinta Hitam Tribunpekanbaru Com from cdn-2.tstatic.net
Perubahan informasi pelakasanaan skd cpns dan seleksi kompetensi pppk nonguru tahun 2021 di . Scan surat lamaran yang dibuat menggunakan format baku yang telah disusun/ditetapkan. Pemerintahan di bidang pendidikan, kebudayaan, ilmu pengetahuan dan. Jadwal skd cpns dan seleksi kompetensi pppk non guru tahun 2021 titik lokasi. 313 formasi yang ada dalam seleksi casn pemerintah kota pekanbaru tahun 2021. 33 pemerintah provinsi, serta 484 pemerintah kabupaten dan kota, . Formasi cpns 2021 pemerintah kota pekanbaru. Unduh disini surat lamaran dan pernyataan cpns dan pppk 2021,.

313 formasi yang ada dalam seleksi casn pemerintah kota pekanbaru tahun 2021.

Pengumuman pelaksanaan skd cpns bpk ri tahun 2021 · lokasi kota pekanbaru, padang, palembang, makassar dan jakarta nomor: Formasi cpns 2021 pemerintah kota pekanbaru. 10/s.peng/x/10/2021 · lokasi kota banda . 313 formasi yang ada dalam seleksi casn pemerintah kota pekanbaru tahun 2021. Kebanyakan cpns tidak memenuhi syarat karena surat lamaran . Unduh disini surat lamaran dan pernyataan cpns dan pppk 2021,. 33 pemerintah provinsi, serta 484 pemerintah kabupaten dan kota, . Jadwal ujian peserta seleksi kompetensi dasar penerimaan calon pegawai negeri sipil (cpns) di lingkungan pemerintah kota dumai tahun anggaran 2021. Jadwal sesi peserta skd cpns dan sesi peserta seleksi kompetensi pppk nonguru instansi pemerintah kabupaten penukal abab lematang ilir tahun 2021. Jadwal skd cpns dan seleksi kompetensi pppk non guru tahun 2021 titik lokasi. Pemerintah kabupaten brebes formasi tahun 2021. Scan surat lamaran yang dibuat menggunakan format baku yang telah disusun/ditetapkan. Perubahan informasi pelakasanaan skd cpns dan seleksi kompetensi pppk nonguru tahun 2021 di .

Jadwal sesi peserta skd cpns dan sesi peserta seleksi kompetensi pppk nonguru instansi pemerintah kabupaten penukal abab lematang ilir tahun 2021. Formasi cpns 2021 pemerintah kota pekanbaru. Provinsi riau, kepulauan riau dan sumatera barat. Scan surat lamaran yang dibuat menggunakan format baku yang telah disusun/ditetapkan. Pemerintahan di bidang pendidikan, kebudayaan, ilmu pengetahuan dan.

Pengumuman pelaksanaan skd cpns bpk ri tahun 2021 · lokasi kota pekanbaru, padang, palembang, makassar dan jakarta nomor: Cara Membuat Surat Lamaran Pendaftaran Seleksi Cpns 2021 Sesuai Formasi Yang Diinginkan Media Magelang
Cara Membuat Surat Lamaran Pendaftaran Seleksi Cpns 2021 Sesuai Formasi Yang Diinginkan Media Magelang from assets.pikiran-rakyat.com
Kebanyakan cpns tidak memenuhi syarat karena surat lamaran . 33 pemerintah provinsi, serta 484 pemerintah kabupaten dan kota, . Pemerintah kabupaten brebes formasi tahun 2021. Perubahan informasi pelakasanaan skd cpns dan seleksi kompetensi pppk nonguru tahun 2021 di . Jadwal sesi peserta skd cpns dan sesi peserta seleksi kompetensi pppk nonguru instansi pemerintah kabupaten penukal abab lematang ilir tahun 2021. 313 formasi yang ada dalam seleksi casn pemerintah kota pekanbaru tahun 2021. Formasi cpns 2021 pemerintah kota pekanbaru. Pelamar yang lolos seleksi administrasi memperebutkan 313 formasi yang ada dalam seleksi casn pemerintah kota pekanbaru tahun 2021.

Unduh disini surat lamaran dan pernyataan cpns dan pppk 2021,.

1) surat lamaran yang ditujukan kepada kepala badan intelijen negara . Jadwal skd cpns dan seleksi kompetensi pppk non guru tahun 2021 titik lokasi. Formasi cpns 2021 pemerintah kota pekanbaru. Kebanyakan cpns tidak memenuhi syarat karena surat lamaran . Pemerintahan di bidang pendidikan, kebudayaan, ilmu pengetahuan dan. Jadwal sesi peserta skd cpns dan sesi peserta seleksi kompetensi pppk nonguru instansi pemerintah kabupaten penukal abab lematang ilir tahun 2021. Pengumuman pelaksanaan skd cpns bpk ri tahun 2021 · lokasi kota pekanbaru, padang, palembang, makassar dan jakarta nomor: Unduh disini surat lamaran dan pernyataan cpns dan pppk 2021,. Pelamar yang lolos seleksi administrasi memperebutkan 313 formasi yang ada dalam seleksi casn pemerintah kota pekanbaru tahun 2021. Provinsi riau, kepulauan riau dan sumatera barat. Jadwal ujian peserta seleksi kompetensi dasar penerimaan calon pegawai negeri sipil (cpns) di lingkungan pemerintah kota dumai tahun anggaran 2021. Scan surat lamaran yang dibuat menggunakan format baku yang telah disusun/ditetapkan. 33 pemerintah provinsi, serta 484 pemerintah kabupaten dan kota, .

Surat Lamaran Cpns 2021 Pemerintah Kota Pekanbaru : Menu - Kebanyakan cpns tidak memenuhi syarat karena surat lamaran .. Jadwal sesi peserta skd cpns dan sesi peserta seleksi kompetensi pppk nonguru instansi pemerintah kabupaten penukal abab lematang ilir tahun 2021. Formasi cpns 2021 pemerintah kota pekanbaru. Pengumuman pelaksanaan skd cpns bpk ri tahun 2021 · lokasi kota pekanbaru, padang, palembang, makassar dan jakarta nomor: Kebanyakan cpns tidak memenuhi syarat karena surat lamaran . Pemerintahan di bidang pendidikan, kebudayaan, ilmu pengetahuan dan.

Posting Komentar untuk "Surat Lamaran Cpns 2021 Pemerintah Kota Pekanbaru : Menu - Kebanyakan cpns tidak memenuhi syarat karena surat lamaran ."